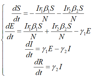
正文

疫情爆发后,世界各地学者做的疫情传播模型探讨

admin